scipy.signal.

qspline1d#

scipy.signal.qspline1d(signal, lamb=0.0)[Quelle]#

Berechnet quadratische Spline-Koeffizienten für ein Rang-1-Array.

Parameter:
signalndarray

Ein Rang-1-Array, das Abtastwerte eines Signals repräsentiert.

lambfloat, optional

Glättungskoeffizient (muss vorerst null sein).

Rückgabe:
cndarray

Quadratische Spline-Koeffizienten.

Siehe auch

qspline1d_eval

Evaluiert eine quadratische Spline an einem neuen Satz von Punkten.

Hinweise

Findet die quadratischen Spline-Koeffizienten für ein 1D-Signal unter Annahme von spiegelbildlichen Randbedingungen. Um das Signal aus der Spline-Darstellung zurückzugewinnen, werden diese Koeffizienten mit einem FIR-Fenster der Länge 3 [1.0, 6.0, 1.0]/ 8.0 spiegelbildlich gefaltet (convolved).

Beispiele

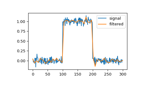
Wir können ein Signal filtern, um hochfrequentes Rauschen mit einer quadratischen Spline zu reduzieren und zu glätten

>>> import numpy as np
>>> import matplotlib.pyplot as plt
>>> from scipy.signal import qspline1d, qspline1d_eval
>>> rng = np.random.default_rng()
>>> sig = np.repeat([0., 1., 0.], 100)
>>> sig += rng.standard_normal(len(sig))*0.05  # add noise
>>> time = np.linspace(0, len(sig))
>>> filtered = qspline1d_eval(qspline1d(sig), time)
>>> plt.plot(sig, label="signal")
>>> plt.plot(time, filtered, label="filtered")
>>> plt.legend()
>>> plt.show()
../../_images/scipy-signal-qspline1d-1.png