scipy.signal.

cspline1d#

scipy.signal.cspline1d(signal, lamb=0.0)[Quelle]#

Berechnet kubische Spline-Koeffizienten für ein Rang-1-Array.

Findet die kubischen Spline-Koeffizienten für ein 1D-Signal unter Annahme von spiegelbildlich-symmetrischen Randbedingungen. Um das Signal aus der Spline-Darstellung zurückzugewinnen, führen Sie eine spiegelbildlich-symmetrische Faltung dieser Koeffizienten mit einem FIR-Fenster der Länge 3, [1.0, 4.0, 1.0]/ 6.0, durch.

Parameter:
signalndarray

Ein Array vom Rang 1, das Abtastwerte eines Signals darstellt.

lambfloat, optional

Glättungskoeffizient, Standard ist 0.0.

Rückgabe:
cndarray

Kubische Spline-Koeffizienten.

Siehe auch

cspline1d_eval

Evaluiert einen kubischen Spline an einem neuen Satz von Punkten.

Beispiele

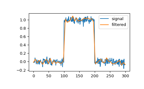
Wir können ein Signal filtern, um hochfrequentes Rauschen mit einem kubischen Spline zu reduzieren und zu glätten.

>>> import numpy as np
>>> import matplotlib.pyplot as plt
>>> from scipy.signal import cspline1d, cspline1d_eval
>>> rng = np.random.default_rng()
>>> sig = np.repeat([0., 1., 0.], 100)
>>> sig += rng.standard_normal(len(sig))*0.05  # add noise
>>> time = np.linspace(0, len(sig))
>>> filtered = cspline1d_eval(cspline1d(sig), time)
>>> plt.plot(sig, label="signal")
>>> plt.plot(time, filtered, label="filtered")
>>> plt.legend()
>>> plt.show()
../../_images/scipy-signal-cspline1d-1.png